摘要
創新互聯建站服務項目包括西寧網站建設、西寧網站制作、西寧網頁制作以及西寧網絡營銷策劃等。多年來,我們專注于互聯網行業,利用自身積累的技術優勢、行業經驗、深度合作伙伴關系等,向廣大中小型企業、政府機構等提供互聯網行業的解決方案,西寧網站推廣取得了明顯的社會效益與經濟效益。目前,我們服務的客戶以成都為中心已經輻射到西寧省份的部分城市,未來相信會繼續擴大服務區域并繼續獲得客戶的支持與信任!這篇博客是從一個網上下載的資料關于模糊c均值聚類和k-means均值聚類的數學方法衍生而來。我下載的那個文章討論的不是很清楚,還有一些錯誤的地方,有些直接給了結果,但是中間的數學推導沒有給出,我感覺中間的數學推導應該是最精華的地方,上網搜發現網上對于這兩個算法的數學推導還是很少的甚至是沒有,百度文庫有一篇,但是推導的是用窮舉找規律,數學的味道不是很濃厚。在這篇文章的基礎上,我增加了一些數學方面的理論推導,講的更加的詳細了一些,特別是在模糊c均值聚類的遞推公式的推導上,需要具有一定的數學功底。這是我一天的成果,就把這個記錄下來了啊,希望對大家有幫助,同時也可以為以后自己的復習做備份。算法其實很簡單,但是知其然并知其所以然卻很難。k-means的算法數學推導原理:http://9269309.blog.51cto.com/9259309/1864214
FCM聚類算法介紹
FCM算法是一種基于劃分的聚類算法,它的思想就是使得被劃分到同一簇的對象之間相似度大,而不同簇之間的相似度最小。模糊C均值算法是普通C均值算法的改進,普通C均值算法對于數據的劃分是硬性的,而FCM則是一種柔性的模糊劃分。在介紹FCM具體算法之前我們先介紹一些模糊集合的基本知識。
模糊集基本知識[21]
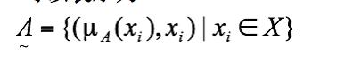
首先說明隸屬度函數的概念。隸屬度函數是表示一個對象x隸屬于集合A的程度的函數,通常記做μA(x),其自變量范圍是所有可能屬于集合A的對象(即集合A所在空間中的所有點),取值范圍是[0,1],即0<=
μA(x)<=1。μA(x)=1表示x完全隸屬于集合A,相當于傳統集合概念上的x∈A。一個定義在空間X={x}上的隸屬度函數就定義了一個模糊集合A,或者叫定義在論域X={x}上的模糊子集 。對于有限個對象x1,x2,……,xn模糊集合 可以表示為:
.............. (6.1)
有了模糊集合的概念,一個元素隸屬于模糊集合就不是硬性的了,在聚類的問題中,可以把聚類生成的簇看成模糊集合,因此,每個樣本點隸屬于簇的隸屬度就是[0,1]區間里面的值。
K均值聚類算法(HCM)介紹
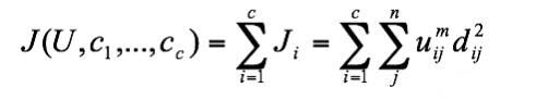
K均值聚類,即眾所周知的C均值聚類,已經應用到各種領域。它的核心思想如下:算法把n個向量xj(1,2…,n)分為c個組Gi(i=1,2,…,c),并求每組的聚類中心,使得非相似性(或距離)指標的價值函數(或目標函數)達到最小。當選擇歐幾里德距離為組j中向量xk與相應聚類中心ci間的非相似性指標時,價值函數可定義為:
.............. (6.2)
其中
是組i內的價值函數。這樣Ji的值依賴于Gi的幾何特性和ci的位置。
一般來說,可用一個通用距離函數d(xk,ci)代替組I中的向量xk,則相應的總價值函數可表示為:
........ (6.3)
為簡單起見,這里用歐幾里德距離作為向量的非相似性指標,且總的價值函數表示為(6.2)式。
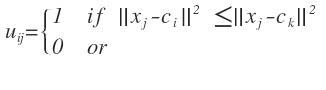
劃分過的組一般用一個c×n的二維隸屬矩陣U來定義。如果第j個數據點xj屬于組i,則U中的元素uij為1;否則,該元素取0。一旦確定聚類中心ci,可導出如下使式(6.2)最小uij:
(6.4)
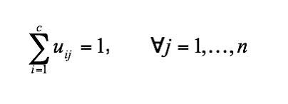
重申一點,如果ci是xj的最近的聚類中心,那么xj屬于組i。由于一個給定數據只能屬于一個組,所以隸屬矩陣U具有如下性質:
(6.5)
且
(6.6)
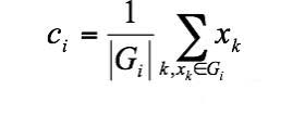
另一方面,如果固定uij則使(6.2)式最小的最佳聚類中心就是組I中所有向量的均值:
,
(6.7)
這里|Gi|是第i個簇中元素對象的個數
為便于批模式運行,這里給出數據集xi(1,2…,n)的K均值算法;該算法重復使用下列步驟,確定聚類中心ci和隸屬矩陣U:
步驟1:初始化聚類中心ci,i=1,…,c。典型的做法是從所有數據點中任取c個點。
步驟2:用式(6.4)確定隸屬矩陣U。
步驟3:根據式(6.2)計算價值函數。如果它小于某個確定的閥值,或它相對上次價值函數質的改變量小于某個閥值,則算法停止。
步驟4:根據式(6.5)修正聚類中心。返回步驟2。
該算法本身是迭代的,且不能確保它收斂于最優解。K均值算法的性能依賴于聚類中心的初始位置。所以,為了使它可取,要么用一些前端方法求好的初始聚類中心;要么每次用不同的初始聚類中心,將該算法運行多次。此外,上述算法僅僅是一種具有代表性的方法;我們還可以先初始化一個任意的隸屬矩陣,然后再執行迭代過程。
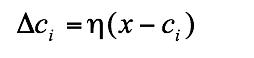
K均值算法也可以在線方式運行。這時,通過時間平均,導出相應的聚類中心和相應的組。即對于給定的數據點x,該算法求最近的聚類中心ci,并用下面公式進行修正:
(6.8)
這種在線公式本質上嵌入了許多非監督學習神經元網絡的學習法則。
6.2.3 模糊C均值聚類
模糊C均值聚類(FCM),即眾所周知的模糊ISODATA,是用隸屬度確定每個數據點屬于某個聚類的程度的一種聚類算法。1973年,Bezdek提出了該算法,作為早期硬C均值聚類(HCM)方法的一種改進。
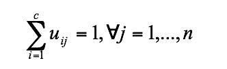
FCM把n個向量xi(i=1,2,…,n)分為c個模糊組,并求每組的聚類中心,使得非相似性指標的價值函數達到最小。FCM與HCM的主要區別在于FCM用模糊劃分,使得每個給定數據點用值在0,1間的隸屬度來確定其屬于各個組的程度。與引入模糊劃分相適應,隸屬矩陣U允許有取值在0,1間的元素。不過,加上歸一化規定,一個數據集的隸屬度的和總等于1:
(6.9)
那么,FCM的價值函數(或目標函數)就是式(6.2)的一般化形式:
,
(6.10)
這里uij介于0,1間;ci為模糊組I的聚類中心,dij=||ci-xj||為第I個聚類中心與第j個數據點間的歐幾里德距離;且 是一個加權指數。
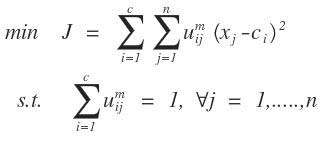
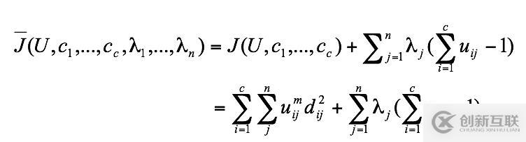
構造如下新的目標函數,可求得使(6.10)式達到最小值的必要條件:
(6.11)
這里λj,j=1到n,是(6.9)式的n個約束式的拉格朗日乘子。對所有輸入參量求導,使式(6.10)達到最小的必要條件為:
......... 6.12
由上述兩個必要條件,模糊C均值聚類算法是一個簡單的迭代過程。在批處理方式運行時,FCM用下列步驟確定聚類中心ci和隸屬矩陣U[1]:
步驟1:用值在0,1間的隨機數初始化隸屬矩陣U,使其滿足式(6.9)中的約束條件
步驟2:用式(6.12)計算c個聚類中心ci,i=1,…,c。
步驟3:根據式(6.10)計算價值函數。如果它小于某個確定的閥值,或它相對上次價值函數值的改變量小于某個閥值,則算法停止。
步驟4:用(6.13)計算新的U矩陣。返回步驟2。
上述算法也可以先初始化聚類中心,然后再執行迭代過程。由于不能確保FCM收斂于一個最優解。算法的性能依賴于初始聚類中心。因此,我們要么用另外的快速算法確定初始聚類中心,要么每次用不同的初始聚類中心啟動該算法,多次運行FCM。
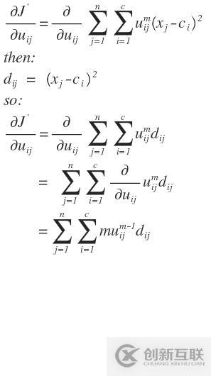
對于式(6.12)結果的推導的數學原理:
FCM算法的數學模型其實是一個條件極值問題:

我們需要把上面的條件極值問題轉化為無條件的極值問題,這個在數學分析上經常用到的一種方法就是拉格朗日乘數法把條件極值轉化為無條件極值問題,需要引入n個拉格朗日因子,如下所示:

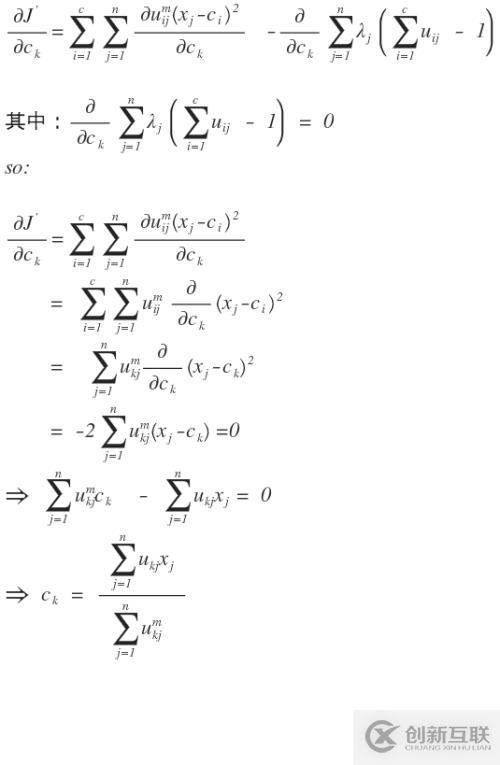
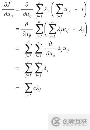
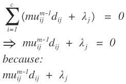
然后對各個變量進行求導,從而得到各個變量的極值點:
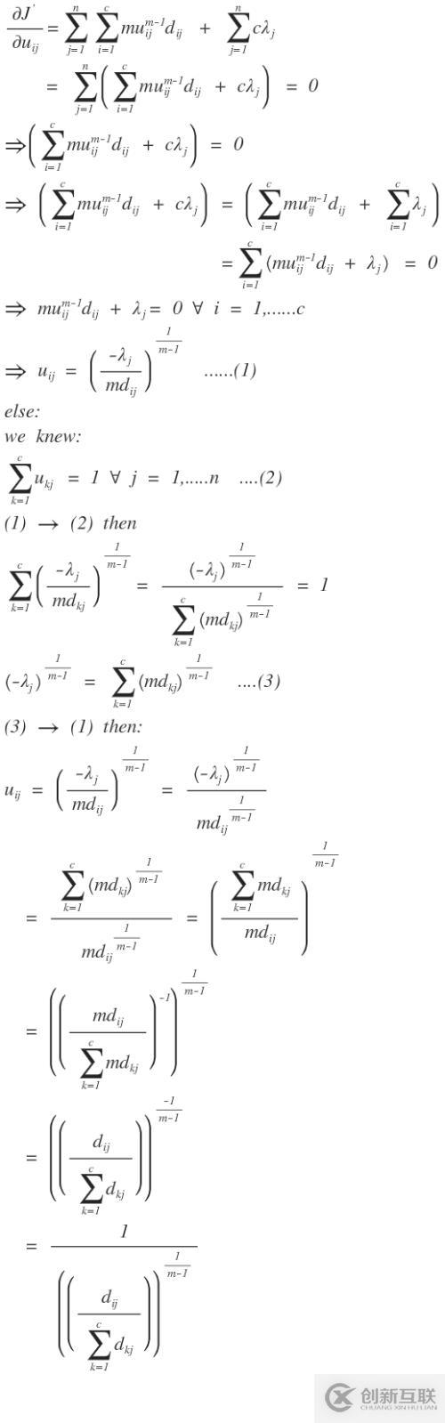
對C中心點進行求導:

拉格朗日函數分為兩部分,我們需要分別對其進行求導,先算簡單的,對后一部分進行求導:

對前一部分進行求導就比較復雜和困難了:

把兩部分放到一起則是:

上面的一些公式用到了英文,不是我裝,我的英語很差的,我用的google公式編輯器不能打漢字,沒辦法,湊活著看吧。
上式推導中的一些點的解釋:

FCM算法的應用
通過上面的討論,我們不難看出FCM算法需要兩個參數一個是聚類數目C,另一個是參數m。一般來講C要遠遠小于聚類樣本的總個數,同時要保證C>1。對于m,它是一個控制算法的柔性的參數,如果m過大,則聚類效果會很次,而如果m過小則算法會接近HCM聚類算法。
算法的輸出是C個聚類中心點向量和C*N的一個模糊劃分矩陣,這個矩陣表示的是每個樣本點屬于每個類的隸屬度。根據這個劃分矩陣按照模糊集合中的大隸屬原則就能夠確定每個樣本點歸為哪個類。聚類中心表示的是每個類的平均特征,可以認為是這個類的代表點。
從算法的推導過程中我們不難看出,算法對于滿足正態分布的數據聚類效果會很好,另外,算法對孤立點是敏感的。
另外有需要云服務器可以了解下創新互聯scvps.cn,海內外云服務器15元起步,三天無理由+7*72小時售后在線,公司持有idc許可證,提供“云服務器、裸金屬服務器、高防服務器、香港服務器、美國服務器、虛擬主機、免備案服務器”等云主機租用服務以及企業上云的綜合解決方案,具有“安全穩定、簡單易用、服務可用性高、性價比高”等特點與優勢,專為企業上云打造定制,能夠滿足用戶豐富、多元化的應用場景需求。
文章題目:模糊c均值聚類和k-means聚類的數學原理-創新互聯
分享網址:http://www.yijiale78.com/article28/ceijcp.html
成都網站建設公司_創新互聯,為您提供企業建站、品牌網站建設、建站公司、ChatGPT、網站排名、網站收錄
聲明:本網站發布的內容(圖片、視頻和文字)以用戶投稿、用戶轉載內容為主,如果涉及侵權請盡快告知,我們將會在第一時間刪除。文章觀點不代表本網站立場,如需處理請聯系客服。電話:028-86922220;郵箱:631063699@qq.com。內容未經允許不得轉載,或轉載時需注明來源: 創新互聯