常見的簡單的遞歸遍歷二叉樹,非常的基礎,顯而易見,這并不會是面試官想要的看的遍歷二叉樹的方法。一般來說,非遞歸實現二叉樹的遍歷才是考得相對較多的,時間復雜度 O(N),空間復雜度 O(N)

如果我們能夠在空間復雜度為 O(1)的條件下實現二叉樹的遍歷,這將是一個很好的加分項,這就是文章后面介紹的Morris 遍歷
那么接下來我們先回顧一下遞歸和非遞歸的方法遍歷二叉樹的做法,然后介紹 Morris 遍歷
二叉樹節點(TreeNode)
class TreeNode {int val = 0; //值
  TreeNode left = null;  //左節點
  TreeNode right = null;  //右節點
  public TreeNode(int val) {this.val = val;
  }
}按照如圖所示進行二叉樹的遍歷,遍歷的節點順序如圖所示。

我們會發現每個節點都會遍歷到三次,先序遍歷的結果就是節點被第一次遇見的順序,中序遍歷的結果就是節點被第二次遇見的順序,后序遍歷的結果就是節點被第三次遇見的順序
1.1 前序遍歷前序遍歷二叉樹的順序是,根——》左——》右
basecase:
當節點 root 為null 時,即遇見了空節點,就可以直接返回了
遞歸過程:
獲取到一棵二叉樹后,但凡遇見的節點不是空節點,那么我們就將其放到結果列表中,然后分別遍歷該節點的左子樹和右子樹。那么對于子樹處理方式也是一樣的
public class Solution1 {public Listlist = new ArrayList<>(); //返回的結果列表
    public ListpreorderTraversal (TreeNode root) {if(root == null) {return list; 
        }
        func1(root);
        return list;
    }
    public void func1(TreeNode root) {if(root == null) {return;  //basecase
        }
        list.add(root.val);//添加到結果列表中
        func1(root.left); //遍歷左子樹
        func1(root.right);//遍歷右子樹
    }
}  中序遍歷二叉樹的順序是,左——》根——》右
本質上和前序遍歷的沒有什么不同,不過是寫在了同一個方法中
public class Solution2 {Listlist = new ArrayList<>();
    public ListinorderTraversal(TreeNode root) {if(root == null) 
            return list;
        inorderTraversal(root.left); //遍歷左子樹
        list.add(root.val);  //添加到結果列表中
        inorderTraversal(root.right); //遍歷右子樹
        return list; 
    }
}  中序遍歷二叉樹的順序是,左——》右——》根
public class Solution3 {public ListpostorderTraversal(TreeNode root) {Listlist = new ArrayList<>();
        if(root == null) return list;
        
        ListleftTree = postorderTraversal(root.left);
        list.addAll(leftTree);//將左子樹的后序遍歷結果放到結果列表中
        ListrightTree = postorderTraversal(root.right);
        list.addAll(rightTree);//將右子樹的后序遍歷結果放到結果列表中
        list.add(root.val);
        //此時左子樹和右子樹后序遍歷的結果放好了,就將當前根節點值放到結果列表中
        return list;
    }
}    非遞歸遍歷實際上將就是將壓棧這個步驟自己進行實現
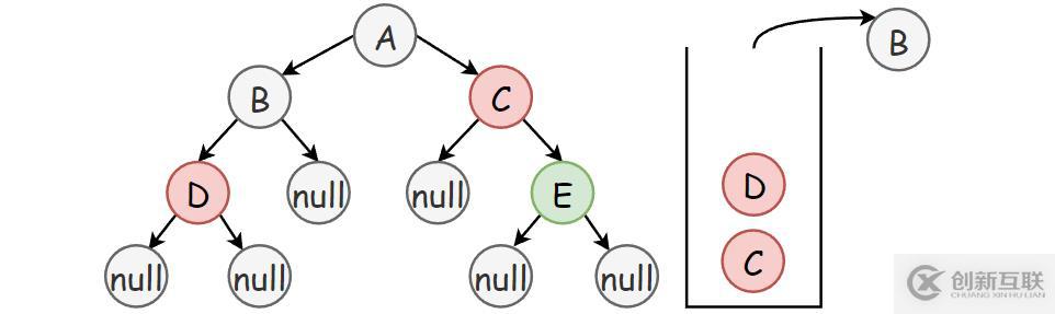
2.1 前序遍歷前序遍歷是 根、左、右 這樣的順序,那么就應該先把根節點入棧

然后彈出一個節點,即當前的根節點,保存到結果列表 list 中。并且只要當前的根節點的左右節點不為空,就將他們壓入棧。先壓右節點,再壓左節點。因為棧是先進后出的,為了先處理左子樹,就應該讓左節點在右節點后入棧

只要棧不為空,我們就繼續彈出一個節點,進行保存,當前彈出的是棧頂的 B 節點,說明開始處理左子樹了

等到下一輪 D 節點都彈出時,說明以 B 節點為根節點的子樹已經處理完畢了,接下來要開始處理以 C 節點為根節點的子樹,依次類推,直到棧為空,循環結束
public class Solution1 {public ArrayListlist = new ArrayList<>();//結果列表
    public void func2(TreeNode root) {Stackstack = new Stack<>();
        stack.push(root);//先將根節點入棧
        //只要棧不為空就一直循環
        while (!stack.isEmpty()) {TreeNode cur = stack.pop();//彈出元素,當前的根
            list.add(cur.val);//保存
            //先壓右節點,再壓左節點
            if (cur.right != null) {stack.push(cur.right);
            }
            if (cur.left != null) {stack.push(cur.left);
            }
        }
    }
}  中序遍歷的順序是 左、根、右
只要 root 節點不為空,就不斷的將其左子節點壓入棧中,root 在走到 root 的左節點上

遇見空節點,那么該空節點必然是其父節點的左節點(左子樹處理完畢),此時從棧中彈出一個節點便是該子樹的根節點,進行保存。然后讓 root 走到方才彈出的根節點的右子樹上,繼續處理右子樹的內容,處理的方式同上

顯而易見,此時 root 為空,那么只要 root 不為空或者棧不為空循環都會繼續,繼續從棧中彈出節點,進行保存。
直到彈出節點 A,進行保存,此時棧為空了。但是 root 不為空,指向節點 A 的右子樹上的根節點 C 呢,循環繼續。也就是說,此時節點 A 的左子樹處理完畢,根處理完畢,開始處理右子樹。
以此類推,直到棧中沒有節點了,root 也為空了,一切就真的結束了
public class Solution2 {public ArrayListlist = new ArrayList<>();//結果列表
    public void func2(TreeNode root) {Stackstack = new Stack<>();
        while (root != null || !stack.isEmpty()) {//一股腦將左邊界都添加到棧中,直到遇見null
            while (root != null) {stack.push(root);
                root = root.left;
            }
            //此時的root為null了,彈出一個元素,走到其右子樹中
            TreeNode node = stack.pop();
            list.add(node.val);
            root = node.right;//對于右子樹的處理方法同上
        }
    }
}  后序遍歷的思想和前序遍歷的思想非常的像。
已知后序遍歷的順序是 左、右、根。棧的特點就是先進后出,那么如果我們遍歷二叉樹以根、右、左 的順序使用一個收集棧保存節點,是可以做到的(模仿前序遍歷,區別就是先壓左節點再壓右節點)。
最后再將收集棧中的節點一個個彈出,就是左、右、根的順序
public class Solution3 {public ArrayListlist = new ArrayList<>();//結果列表
    public void func2(TreeNode root) {Stackstack1 = new Stack<>();//壓棧
        Stackstack2 = new Stack<>();//收集棧
        stack1.push(root);//先壓入根節點
        while (!stack1.isEmpty()) {TreeNode node = stack1.pop();//彈出一個元素,將其值放到收集棧中
            stack2.push(node.val);
            //方才彈出的元素,有左先壓左,有右再壓右
            if (node.left != null) {stack1.push(node.left);
            }
            if (node.right != null) {stack1.push(node.right);
            }
            //周而復始
        }
        //將收集棧中的元素倒出來
        //stack1的出棧順序是根右左,壓入到stack2中再彈出來,就是左右根
        while (!stack2.isEmpty()) {list.add(stack2.pop());
        }
    }
}   在上面的遍歷方式中時間復雜度為 O(N),因為要遍歷每個節點??臻g復雜度為 O(N),因為使用到了棧,無論是遞歸使用的系統的棧還是非遞歸自己手動創建的棧。
Morris 遍歷是一種和上面的遍歷方式不太一樣的遍歷方式,通過利用樹中的空節點,來達到節省空間的目的,空間復雜度為 O(1)
遍歷介紹:
有一個 TreeNode 類型的變量 cur 此時正在根節點處
遍歷過程:
此時的 cur 指向 A 節點,有左孩子,且左子樹上的最右節點是 B 節點,那就讓 B 的右指針指向 cur,cur 往左子樹上移動

發現 cur 依舊有左孩子,按照之前的做法進行操作。cur 即將移動到其左孩子 D 節點上

終于發現 cur 沒有左孩子了,那就往其右子樹移動
此時的 cur 沒有左孩子,cur 就往 G 節點的右子樹上移動,回到了 B 節點

cur 回到 B 節點后,B 節點有左子樹,并且左子樹的最右節點 Rightmost 正指向 cur 呢,那就讓它給指回 null,恢復原樣,然后 cur 往其右孩子上移動

cur 往 B 節點的右孩子移動,就又回到了 A 節點,A 節點有左子樹,并且左子樹的最右節點正指向 cur(A 節點),就將其恢復原樣,重新指向 null,然后 cur 往其右孩子上移動

這樣子一來,這個二叉樹的左子樹以及根節點算是遍歷完成了,接下來的右子樹也是同樣的規則進行遍歷

直到 cur 為空,遍歷就算結束了

我們可以發現,所有的擁有左子樹的節點都遍歷了兩次,其余的節點只遍歷了一次
代碼實現:
public class Solution5 {public static void Morris (TreeNode root) {if (root == null) {return;
        }
        TreeNode cur = root;
        TreeNode rightMost = null;
        while (cur != null) {rightMost = cur.left;//開始找左子樹中最右的節點
            if (rightMost == null) {//沒有左孩子
                cur = cur.right;
            }else {//有左孩子
                //先讓 rightMost 指向 cur 左子樹的最右節點
                while (rightMost.right != null && rightMost.right != cur) {rightMost = rightMost.right;
                }
                //到這里,rightMost 的 right 可能為 null,可能為 cur
                if (rightMost.right == cur) {//說明是第二遍到 cur 節點
                    rightMost.right = null;//讓其回歸正常
                    cur = cur.right;
                }else {//第一遍來到 cur 節點
                    rightMost.right = cur;
                    cur = cur.left;
                }
            }
        }
    }
}對于前序遍歷來說,如果某個節點沒有左孩子,只會遍歷到一次,就直接打印。如果有左孩子的,說明可以遍歷到兩次,那么第一次遍歷到的時候打印

紅色部分就是前序遍歷的節點順序,和預期的一模一樣
public class Solution5 {public static void preMorris (TreeNode root) {if (root == null) {return;
        }
        TreeNode cur = root;
        TreeNode rightMost = null;
        while (cur != null) {rightMost = cur.left;
            if (rightMost == null) {System.out.println(cur.val);//唯一一次遍歷,打印
                cur = cur.right;
            }else {while (rightMost.right != null && rightMost.right !=cur) {rightMost = rightMost.right;
                }
                if (rightMost.right == cur) {//說明是第二遍到 cur 節點
                    rightMost.right = null;
                    cur = cur.right;
                }else {//第一遍來到 cur 節點
                    System.out.println(cur.val);//第一次出現,打印
                    rightMost.right = cur;
                    cur = cur.left;
                }
            }
        }
    }
}對于中序遍歷來說,如果某個節點沒有左孩子,只會遍歷到一次,就直接打印。如果有左孩子的,說明可以遍歷到兩次,那么第二次遍歷到的時候打印

public class Solution5 {public static void inMorris (TreeNode root) {if (root == null) {return;
        }
        TreeNode cur = root;
        TreeNode rightMost = null;
        while (cur != null) {rightMost = cur.left;
            if (rightMost == null) {System.out.println(cur.val);//唯一一次遍歷,打印
                cur = cur.right;
            }else {while (rightMost.right != null && rightMost.right !=cur) {rightMost = rightMost.right;
                }
                if (rightMost.right == cur) {//說明是第二遍到 cur 節點
                    System.out.println(cur.val);//第二次出現,打印
                    rightMost.right = null;
                    cur = cur.right;
                }else {//第一遍來到 cur 節點
                    rightMost.right = cur;
                    cur = cur.left;
                }
            }
        }
    }
}對于后序遍歷來說,如果某個節點沒有左孩子,那就不管了。
如果有左孩子并且是第二次到達該節點,那么就將該節點的左子樹的右邊界逆序打印。
一切完成之后,將整棵樹的右邊界進行逆序打印


如圖所示,在 Morris 遍歷中, A 和 B 是擁有左子樹的節點且是第一次遍歷,跳過。D 和 G 都沒有左子樹,跳過。
又遍歷到了 B 節點,這是第二次遍歷到 B 節點,并且 B 節點還是第二次遍歷到,所以就逆序打印 B 節點左子樹的右邊界 G D,后面的節點就依次根據這些內容來判斷。
直到遍歷完全之后,逆序打印整棵樹的右邊界
注:在第二遍遍歷到該節點的時候,需要先進行還原二叉樹,即將對應的 Rightmost 的 right 指向 null,然后在進行逆序打印右邊界操作
public static void postMorris (TreeNode root) {if (root == null) {return;
    }
    TreeNode cur = root;
    TreeNode rightMost = null;
    while (cur != null) {rightMost = cur.left;//開始找左子樹中最右的節點
        if (rightMost == null) {//沒有左孩子
            cur = cur.right;
        }else {//有左孩子
            while (rightMost.right != null && rightMost.right !=cur) {rightMost = rightMost.right;
            }
            if (rightMost.right == cur) {//說明是第二遍到 cur 節點
                rightMost.right = null;//先讓其回歸正常
                printFunc(cur.left);//逆序打印
                cur = cur.right;
            }else {//第一遍來到 cur 節點
                rightMost.right = cur;
                cur = cur.left;
            }
        }
    }
    printFunc(root);//最后總的逆序打印整棵樹的右邊界
}
//提供了一個樹的根節點,逆序打印這棵樹的右邊界
public static void printFunc(TreeNode root) {TreeNode tail = reverseRightEdge(root);
    TreeNode cur = tail;//進行一個反轉
    while (cur != null) {System.out.println(cur.val);
        cur = cur.right;
    }
    reverseRightEdge(tail);//給它反轉回去
}
//反轉右邊界(類似于反轉單鏈表)
public static TreeNode reverseRightEdge(TreeNode root) {TreeNode cur = root;
    TreeNode prev = null;
    while (cur != null) {TreeNode curNext = cur.right;
        cur.right = prev;
        prev = cur;
        cur = curNext;
    }
    return prev;
}你是否還在尋找穩定的海外服務器提供商?創新互聯www.cdcxhl.cn海外機房具備T級流量清洗系統配攻擊溯源,準確流量調度確保服務器高可用性,企業級服務器適合批量采購,新人活動首月15元起,快前往官網查看詳情吧
                網站題目:如何花最少的資源遍歷二叉樹-創新互聯
                
                瀏覽地址:http://www.yijiale78.com/article32/djgspc.html
            
成都網站建設公司_創新互聯,為您提供品牌網站制作、做網站、品牌網站設計、微信公眾號、云服務器、手機網站建設
聲明:本網站發布的內容(圖片、視頻和文字)以用戶投稿、用戶轉載內容為主,如果涉及侵權請盡快告知,我們將會在第一時間刪除。文章觀點不代表本網站立場,如需處理請聯系客服。電話:028-86922220;郵箱:631063699@qq.com。內容未經允許不得轉載,或轉載時需注明來源: 創新互聯
