本篇內容介紹了“白話講解,拜占庭將軍問題”的有關知識,在實際案例的操作過程中,不少人都會遇到這樣的困境,接下來就讓小編帶領大家學習一下如何處理這些情況吧!希望大家仔細閱讀,能夠學有所成!
成都創新互聯公司主營喀喇沁網站建設的網絡公司,主營網站建設方案,重慶APP開發公司,喀喇沁h5成都小程序開發搭建,喀喇沁網站營銷推廣歡迎喀喇沁等地區企業咨詢

作為服務端開發的同學,你可能聽說過Paxos、Raft這類分布式一致性算法,也在工作中使用過ZooKeeper、etcd等工具來解決一致性問題。但你可能不知道,這些算法和工具解決的并不是一致性中最難的問題,要討論這個最難的問題,這就要追溯到 Leslie Lamport 1982 年發表的著名論文 《拜占庭將軍問題》(The Byzantine Generals Problem )上了。

綜上所述,我們可以得出一個結論:在拜占庭三個將軍中出現一個叛徒,并且叛徒可以任意偽造消息的情況下,只要叛徒頭腦清醒,他就始終無法被發現,甚至還能造成整個系統的信任危機。
根據這一結論進一步推導可以得出一個更通用的結論,如果存在 m 個叛徒將軍,那么當將軍總數小于或等于 3m 時(n <= 3m,m代表叛徒將軍個數),叛徒便無法被發現,整個系統的一致性也就無法達成。
從上面的結論,可以看出,忠誠將軍的人數是叛徒人數 2 倍的時候,依然不能找出叛徒,那么再多一個忠誠的將軍呢?
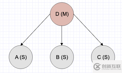
為了簡化問題,接下來假設有 4 個拜占庭將軍,分別是A、B、C、D,其中有一個是叛徒。我們依然秉承找出叛徒的關鍵,即判斷哪個將軍發送了不一致的消息。
也就是說,接下來就是和其他接收到消息的將軍進行信息的同步判斷:是否收到的消息不一致。
現在,將問題再進一步簡化,暫不需要考慮整個投票的過程,只需要考慮一個將軍向其他三個將軍各發送了一條命令,忠誠將軍能否對這個命令達成一致的情況,為了區分發送命令的將將軍和接收消息的將軍,我們將發送命令的將軍稱為發令將軍(M),將接收命令的將軍稱為副官(S)。

考慮下面兩個問題:
那么剩下的三個副官能不能通過相互間的信息同步找到叛徒?
或者所有忠臣間達成一致,不讓叛徒的分裂想法得逞呢?
這時候就出現了兩種情況:
發令將軍是叛徒 ;
副官里有叛徒。
Case1:發令將軍是叛徒
假設D是叛徒,向A和B發送了進攻,向C發送了撤退。現在,我們切入到A的視角。
A問B和C:“我從D那里收到的消息是進攻,你從D那里收到的是什么呢?”
B說是進攻,C說是撤退。
此時,從A的視角來看,C和D對同一條消息的說法是不一致的,那么他們兩個人中肯定有一個是叛徒,但是A無法判斷的是:
D給不同人發送了不一致的消息;
還是C偽造了D的消息。
好在,由于A知道最多只有一個叛徒存在。
那么根據反證法,如果B也是叛徒,就有兩個叛徒存在,那么B肯定不是叛徒。
那么A和B至少在D發送的是進攻這一消息上,達成了一致,兩者選擇都是進攻。
B也是同樣的情況,現在A和B彼此建立了信任,而同樣是忠誠副官的C,最終則和真正的叛徒D被一同懷疑。

Case2:副官里有叛徒
假設C是叛徒,D給三個副官都發送了進攻,那么叛徒C應該怎樣同步D的消息,才能分裂忠誠的發令將軍和忠誠副官間的關系呢?
如果將D的消息原樣轉發出去,那么這一想法實施后也就無法再去當叛徒了。如果給A與B均發送和D相反的撤退消息,那么就回到了前文所講的第一種情況,A和B認為D發送的是進攻,發送消息的D也認為自己發送的消息是進攻,忠臣們行動上又一次達成了一致。
然而,為了給系統增加更多的混亂,叛徒C決定再次發送不一致的消息,告訴B自己從D收到的是進攻,告訴A自己從D收到的是撤退。這種情況下,B看到所有人都認為D是進攻,會傻傻地認為大家是個團結一致的集體,沒有叛徒。而A會發現C和D中出現了一個叛徒,不過A也再次可以確認B是自己人。此時,A決定再和B同步一輪消息,看看C是不是說了兩個不一致的消息,這種情況下,叛徒C就完全暴露了。

由此可見,在多了一個忠臣的情況下,叛徒需要處處小心,才能避免被發現。與此同時,忠臣們即便在存在混亂信息的情況下,行動上也依舊達成了一致。根據推理,我們可以推導出一個結論:當忠臣的個數為 2m + 1 時,他們可以容忍 m 個叛徒產生的破壞。
當前文章:白話講解,拜占庭將軍問題
文章鏈接:http://www.yijiale78.com/article48/jcsphp.html
成都網站建設公司_創新互聯,為您提供虛擬主機、網站收錄、關鍵詞優化、外貿網站建設、企業建站、ChatGPT
聲明:本網站發布的內容(圖片、視頻和文字)以用戶投稿、用戶轉載內容為主,如果涉及侵權請盡快告知,我們將會在第一時間刪除。文章觀點不代表本網站立場,如需處理請聯系客服。電話:028-86922220;郵箱:631063699@qq.com。內容未經允許不得轉載,或轉載時需注明來源: 創新互聯